Home
Papers
Notes
Syllabus
Resources
Quiz
Exam
Cooker
Resources
/
Multivariable Calculus and Differential Equations
Multivariable Calculus and Differential Equations
5 modules · 30 topics · 63 videos · 62 practice questions
Original source
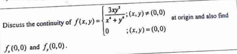
limit and continuity
limit and continuity
Limit and continuity for two variables
limit and continuity — Lecture 1
0:00
0:00
0.5x
1x
1.5x
2x
1 / 3
Lecture
Playing
Lecture 1
Lecture
Paused
Lecture 2
Lecture
Paused
Lecture 3
Practice
4
1
2
3
4
partial derivative
Multivariable Calculus and Differential Equations resources | ExamCooker