Tools
Theme
Theme
Account
Account
Home
Papers
Notes
Syllabus
Resources
Home
Papers
Notes
Syllabus
Resources
Back to
Resources
Back to
Resources
›
Complex Variables and Linear Algebra
Complex Variables and Linear Algebra
7 modules · 23 topics · 79 videos · 96 practice questions
Original source
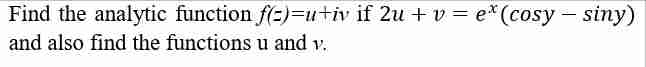
Analytic function
Analytic function
Analytic function — Lecture 1
0:00
0:00
0.5x
1x
1.5x
2x
1 / 3
Lecture
Playing
Lecture 1
Lecture
Paused
Lecture 2
Lecture
Paused
Lecture 3
Practice
4
1
2
3
4
Harmonic conjugate
Complex Variables and Linear Algebra resources | ExamCooker